全國服務熱線:400-7362-588
產品與解決方案
BDFM15系列無刷雙饋變頻調速系統
- 詳細描述
- 原理及特性
- 型號定義及選型說明
一、概述
本系統可廣泛應用于冶金、石油、化工、紡織、電力、建材、煤炭、醫藥、食品、造紙、塑料、印染、起重、線纜、洗滌、供水、暖通、污水處理等行業中的拉絲機、攪拌機、擠出機、卷繞機械、壓縮機、風機泵類、研磨機、傳送帶、提升機、離心機等設備。
二、無刷雙饋電動機變頻調速系統優勢分析
1、系統成本低:無刷雙饋電動機變頻調速系統采用小功率變頻控制裝置控制大功率電機,采用低壓變頻控制裝置控制高壓電機,故與傳統變頻調速相比,可以大幅降低變頻控制裝置的成本。可降低50%的設備投資。
2、效率高:無刷雙饋電機工頻繞組直接接電網,只有部分功率通過變頻控制裝置,故其效率與傳統異步電機高壓變頻調速系統相比,效率要高3.8%。
3、可靠性高:(1)無刷雙饋電機取消了電刷和滑環,增加了可靠性;(2)高壓變頻器可靠性目前還遠遠低于低壓變頻器,而無刷雙饋變頻調速系統,可以通過低壓變頻器控制高壓電機,可靠性大大提高;(3)普通的變頻調速系統,一旦變頻器發生故障,電機就會停止運行,而無刷雙饋變頻調速系統,在變頻調速裝置故障時,仍然可以自動切換到自然同步速下運行,在一定程度上保證了運行需要,可靠性大大提高。
4、占地面積小:設備體積只有傳統設備體積的五分之一,可節省安裝場地的投資。
5、維護方便:變頻控制器為低壓設備,不需要專業的高壓操作維護人員,可降低使用和維護成本。
三、節能簡單估算
1、工頻運行的耗電功率:
I—實際運行電流;
—根據實際運行情況進行估算2、變頻運行的耗電功率:
(1)風機變頻運行:功率(KW)=流量( m3/s)X 壓力(
)(2)水泵變頻運行:
功率(KW)=流量(m3/s ) 揚程(m) 密度( ) 重力加速度(9.8N/kg)/效率
3、節電功率:

4、節電率:

5、年節約電費:

H—年運行天數;A—電費 元/kwh
估算原則:
(1)能讀不算,對于工頻運行工況大多數有功率表或有功電度表計量,應以計量數據作為計算依據
(2)能測不估,對于閥門后壓力有測量孔的最好不要通過工況壓力+管阻壓力估算
-
無刷雙饋電動機變頻調速系統基本原理
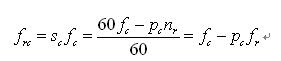
無刷雙饋電動機是近年來發展起來的一種由兩套不同極對數的定子繞組和一套繞線轉子繞組構成的新型交流感應電動機。經過特殊設計的繞線轉子使得兩套定子繞組產生不同極對數的旋轉磁場間接相互作用,并能對其相互作用進行控制來實現能量傳遞。其中一套定子繞組接固定工頻電源,稱為工頻繞組,另一套定子繞組接變頻驅動控制器,稱為變頻繞組。
工頻繞組的極對數為
,直接連接電網,頻率為
;變頻繞組的極對數為
,由變頻器電源供電,頻率為
。電機定子工頻繞組通入工頻電源,頻率 ,在電機氣隙中產生的磁場同步轉速:

當電機定子變頻繞組接入變頻電源時,頻率
,轉子繞組感應的電流頻率為:
穩態運行時電機轉速與定轉子極對數和頻率的關系為:
式中,
前取正號表示變頻繞組與工頻繞組的電源相序相同,
前取負號表示兩個繞組外加電源相序相反。此式表示,可使轉速隨著 改變達到調速的目的。
-
示例:BDFM15-6-380/300,表示設計序號15、適用電動機工頻繞組電壓6KV、變頻繞組電壓380V、電動機軸上輸出機械功率為300KW。
分享
